This page will cover all the rules for powers (indices). But first, let’s remind ourselves what powers are!
Powers are repeated multiplication.
You can revise your square numbers and cube numbers here.
Practice calculating powers here with Transum.
Expressions involving powers have a base and a power. The base is the big number which is being raised to the power. The power is the small number on the top.
Practice working with powers using the two links above before moving onto learning the algebraic rules of powers (laws of indices).
Note that the words powers and indices mean the same thing.


Rule ❶ – Multiplyling

Multiplying two powers with the same base is the same as writing a single power which is the sum of the two powers.
Look at the example on the left.
We added 3 and 5 to make 8.
Rule ❷ – Dividing
Dividing two powers with the same base is the same as writing a single power which is first power minus the second power.
Look at the example on the right. 10 minus 3 is 7.

Rule ❸ – Powers to Powers

A power to another power is the same as just multiplying the two powers.
Look at the example on the left. 5 x 6 = 30
Practice Rules ❶ , ❷ & ❸
Rule ❹ – Anything to the power 1 is itself.
Anything to the power of 1 is itself.
It’s the simplest rule!

Rule ❺ – Anything to the power 0 is 1.

Anything to the power 0 (zero) is 1.
If you ever see a power of zero, you can immediately simplify the whole thing to be just 1.
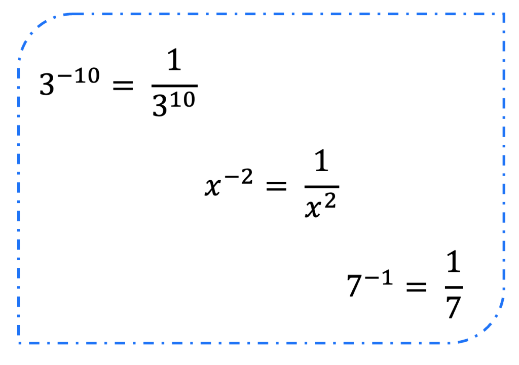
Rule ❻ – Negative Powers are Fractions
A negative power makes a fraction. The numerator is 1 and the denominator is the base to the positive power.

If it is a fraction to a negative power, the fraction flips.

Look at the example on the right.
The power of minus 2 flips the fraction and then squares everything.
The minus sign flips the fraction, then the 2 powers everything by 2.




Practice Rules ❹ , ❺ & ❻
Rule ❼ – Fractional Powers
To begin, let’s look at the power of a half.
The power of a half is the same as a square root.
Now, what is the general rule for fractional powers?
The denominator of the power tells you the root, and the numerator tells you the power.


Practice Rule ❼
Corbett Maths Textbook: Fractional Indices
Free downloadable revision poster for all of Indices and Surds!
Note: Surds is for GCSE Level.
Videos!
General Practice!
Transum: True of False Laws of Indices Revision
(try levels 1, 2 and 3)
